天气
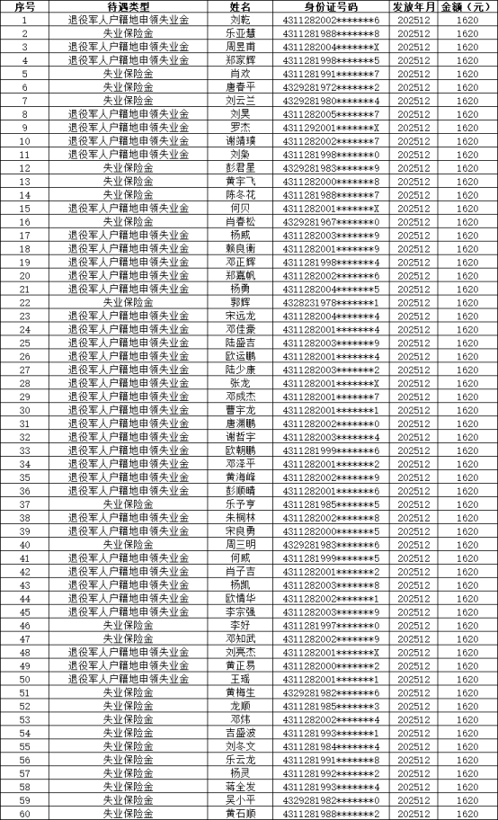
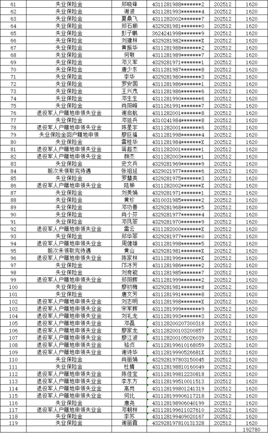
根据《湖南省失业保险条列》及有关规定,新田县就业服务中心对刘乾等119名人员的失业保险金申领资格进行了审核,现已通过审批。现将符合领取条件的人员名单予以公示。
公示期限:2025年12月11日至2025年12月18日。
公示期间,如对公示对象有异议,可通过电话、信函或来访等方式向新田县就业服务中心反映。反映情况须实事求是,并请提供真实姓名及联系方式。
监督电话:0746-4712363
地址:新田县人防大楼一楼就业服务中心102办公室
附:公示人员名单
新田县就业服务中心
2025年12月11日

